主题回归到流变学一下。
众所周知(线性)粘弹性是处于Hookian弹性和Newtonian粘性这两个极端之间的性质。对Hookian弹性体(Hookian弹簧模型)施加正弦形变,测到的是同相的正弦应力;向Newtonian粘流体(Newtonian粘壶)施加正弦形变速率,测到的是同相的正弦应力。向一个线性粘弹性样品施加正弦形变,测到的是相位角为[eq]\delta[/eq]的正弦应力:[eq]\gamma_0 \sin \left ( \omega t+\delta \right )[/eq]。
最为人熟悉的流变学测试(也是最多不懂流变的人知道要做的测试)就是[eq]G'[/eq]、[eq]G”[/eq]~[eq]\omega[/eq]曲线,这个也叫做“粘弹谱”。我曾经详细解释过[eq]G'[/eq]和[eq]G”[/eq]到底是怎么来的。典型线型聚合物粘弹谱如下图:
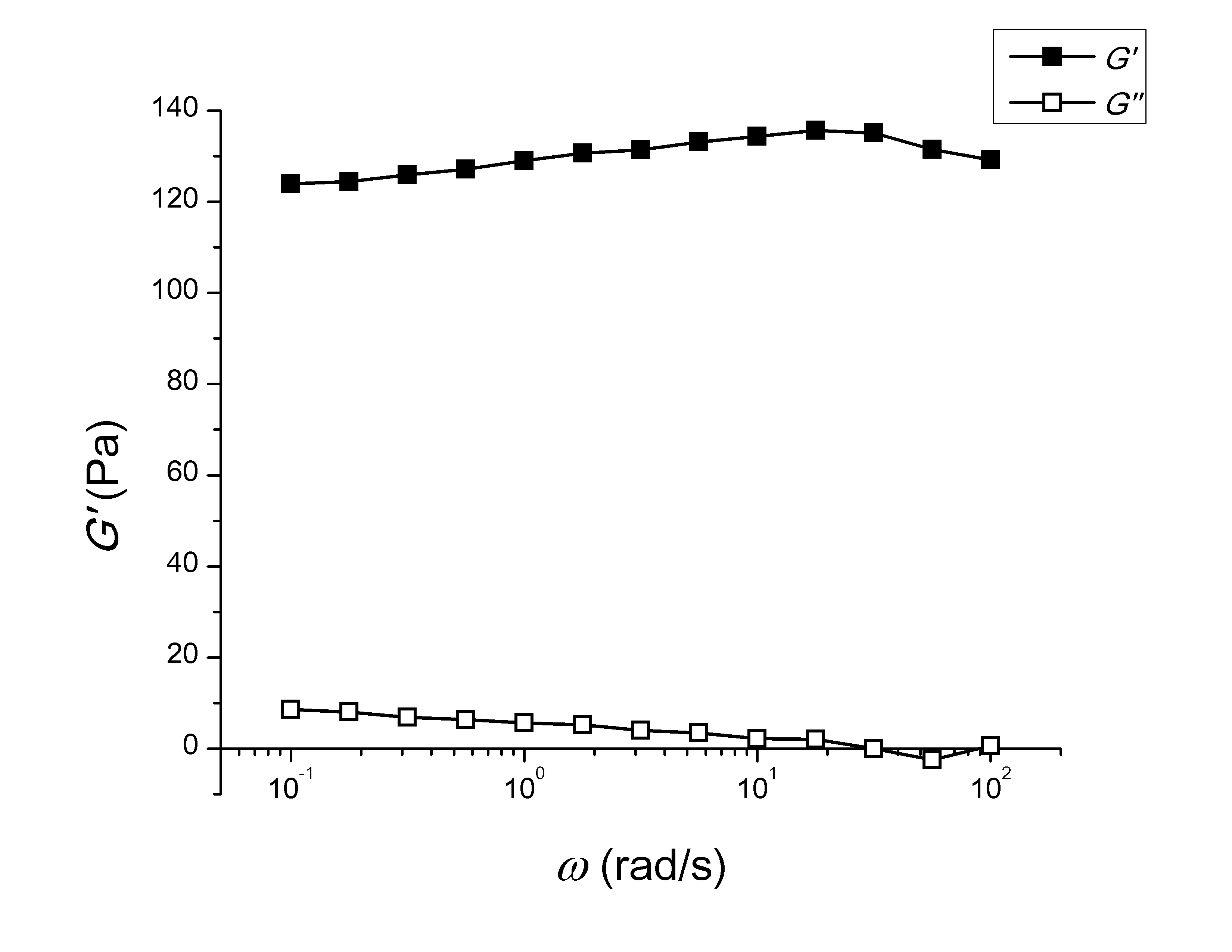
下图是我配制的合成锂藻土Laponite凝胶的粘弹谱,发现[eq]G”[/eq]在高频处出现负值。下面是对这个不正常现象的解释。
一台应变控制型流变仪若要给出这样的图,就要给样品施加一定频率[eq]\omega[/eq]和幅度[eq]\gamma[/eq]的正弦应变[eq]\gamma \left ( t \right ) = \gamma_0 \sin \left ( \omega t \right)[/eq],然后夹具所连接的力学传感器记录样品向夹具施加的转矩,并根据夹具形状和Gap值换算成应变[eq]\sigma \left ( t \right )[/eq],在线性粘弹性条件下[eq]\sigma \left ( t \right )=\sigma_0 \sin \left ( \omega t + \delta \right )[/eq]。仪品仅需且必须准确测量出两个值:[eq]\sigma_0[/eq](从在转矩数据中找到的最值换算)和[eq]\delta[/eq](通过比较转矩数据和应变数据的相位差[eq]\Delta t[/eq]换算,见第1幅图)。其中,[eq]\Delta t=\frac{\delta}{\omega}[/eq]。其他诸如[eq]G'[/eq]、[eq]\eta'[/eq]之类的,都是从这两个数据算出来的。例如[eq]G”=\frac {\sigma_0}{\gamma_0} \sin \left( \omega \right )[/eq]。
如果样品非常接近Hookian弹性体,应力和应变的时间曲线接近同相,相位角[eq]\delta[/eq]的值是非常小的,如果同时频率[eq]\omega[/eq]的值很大,那么相位差[eq]\Delta t[/eq]的值就会非常小。按照第一幅图的情况,,这么大的时间差就算人也能测得很准。但是,在Laponite凝胶粘弹谱中,样品在高频区非常接近Hookian行为,[eq]\delta[/eq]小于2°,这时,如果要求仪器仍然把[eq]\delta[/eq]测准,就等于要求准确分辨小于万分之几秒的时间差。以
为例:
!
仪器是通过比较应力和应变两条曲线在横轴上的位值差来获得[eq]\Delta t[/eq]的。理论上[eq]\Delta t[/eq]再小也总大于0。但如果待测值小于仪器误差,仪器可能就搞不清两条曲线谁前谁后了,就会出现负值的[eq]\Delta t[/eq],从而出现负值的[eq]\delta[/eq]。虽然[eq]\delta[/eq]出现负值,但绝对值总之并不会太大,所以[eq]\delta[/eq]在第四象限,[eq]\cos\left(\delta\right)\gg 0,\sin\left(\delta\right)<0[/eq],所以“遭殃”的就会是[eq]G''[/eq]。
总之,[eq]G”<0[/eq]的实质是,Hookian样品损耗角[eq]\delta[/eq]的高频值已超过仪器的测量能力,测出来的值不管是正是负,都在误差范围内,已经不可靠了。




谢谢,已经改过来了。
第一幅图算根据这个公式相位角与频率相除是1/12s,为什么是3000s?